合并后的淮北市与宿州市:迈向美好家园
2025-12-19 21:26:36
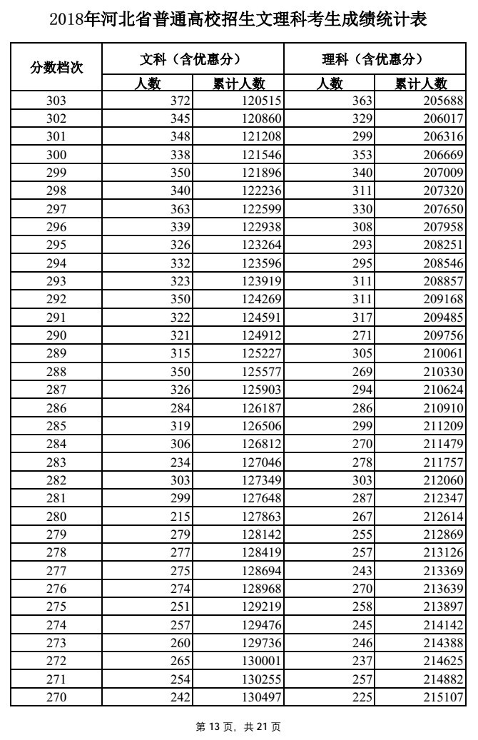
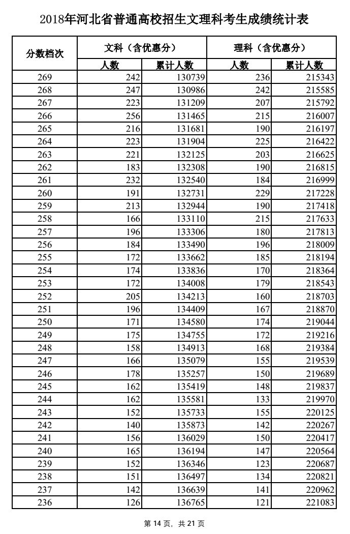
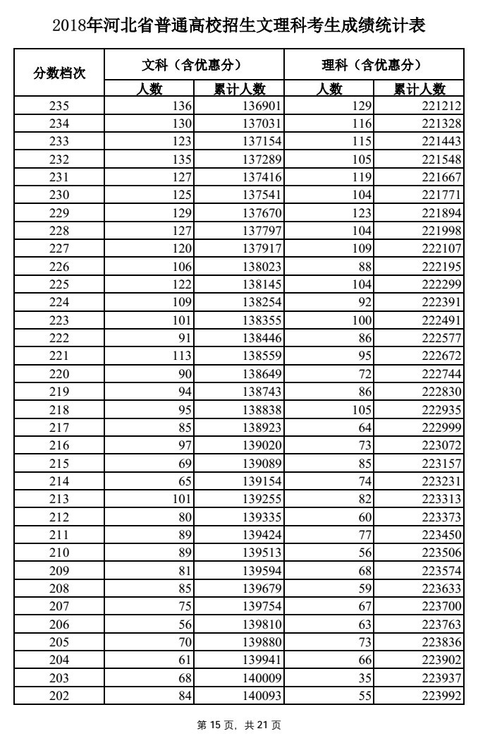
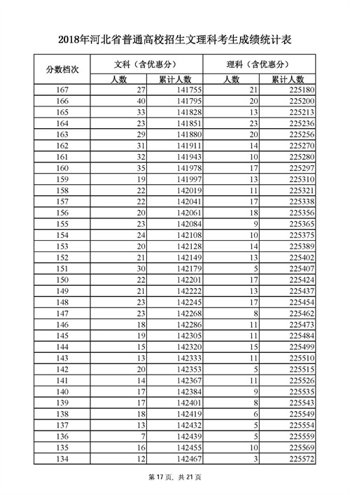
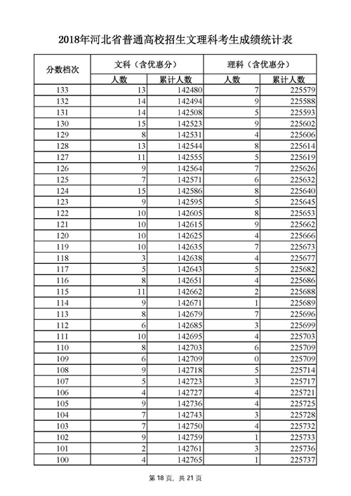
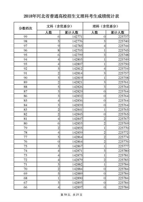
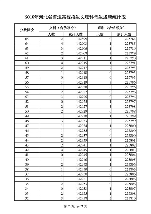
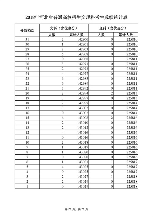
快看!2018年河北省高考一分一档统计表出炉!
最新!2018年河北省普通高校招生文理科考生一分一档统计表公布啦!请往下看!
河北考生和家长可登录河北省教育考试院网站(网址:www.hebeea.edu.cn)查询全部的一分一档统计表!
2018年河北省普通高校招生
文理科一分一档统计表
(点击看大图)





















(更多详细统计请查看省教育考试院网站)
(来源:燕赵赵都市报冀东版)
2025-12-19 21:26:36
2025-12-19 21:24:22
2025-12-19 21:22:07
2025-12-19 21:19:53
2025-12-19 21:17:39
2025-12-19 21:15:24
2025-12-19 21:13:10
2025-12-19 21:10:55
2025-12-19 21:08:41
2025-12-19 21:06:27
2025-12-19 21:04:12
2025-12-19 16:39:57
2025-12-19 16:37:42
2025-12-19 16:35:28
2025-12-19 16:33:14
2025-12-19 16:30:59
2025-12-19 16:28:45
2025-12-19 16:26:31
2025-12-19 16:24:16
2025-12-19 16:22:02