在北京看《北京折叠》 这本被大赞书到底是怎样的
2026-04-06 04:26:10
这些走心的毕业礼物,温暖前行的路


又是一年毕业季,是不是有人已经“提前”收到了毕业礼物啦?今天,小编给大家晒一些格外“走心”的毕业礼物,你最喜欢哪个?快跟小编一起来看看吧 ↓↓↓
暖心:连续7年手写毕业赠言

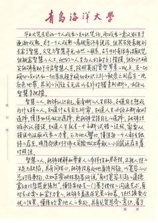
最近,中国海洋大学海洋与大气学院师生,尤其是应届毕业生们的微信朋友圈刷屏了。大家纷纷转发院长管长龙给予学院2018届毕业生的毕业赠言。赠言是亲笔写在信笺上的,这与当前潮流有些“格格不入”。而更让人钦敬的是,管老师手书赠言早在2012年就开始了,今年是第七年。今年的这张毕业赠言上,字迹飘洒俊逸,700余字与毕业生们探讨怎样做一个“智慧的人”。

2012年起,每到毕业季,管长龙老师都会手书毕业赠言,寄语毕业生。这些赠言每年一个主题,比如,2014年他期望毕业生“遇到逆境,要将其炼成自己的逆商”,2015年鼓励毕业生成为 “一个有思想的人”,2016年希望毕业生“学会独处”,2017年则勉励毕业生“学会自律”。他手写的毕业赠言在毕业生中引起不小反响,大家纷纷点赞。
实在:毕业礼物是小榔头

在电子科技大学,不少人都有一把自己专属的小榔头。它文能修表拆零件,武可钉钉砸核桃……毕业以后,它还是一份记忆。
这个小榔头,是成电人在“基础工程训练”课程上的作品。从最开始的校办工厂到沙河的金工实习基地再到清水河的工程训练中心,“基础工程训练”这门课程,一路伴随,教会大家细致、专注,并且不断创新的工匠精神。

“基础工程训练”是面向电子科技大学全校工科专业包括部分文科专业学生的一门工程实践课程。每个学生需要在这里进行约两周的实习(每天8学时)。在此期间,学生会有各种各样的“产品”出炉,刻有自己名字的小榔头就是其中之一。
有人说,在电子科大,这种学习既是一门课程,但更重要的是一种文化,一种精神。他教会了学生细致、专注、创新的工匠精神,就像手中的小榔头,伴随一生。
贴心:学霸“阅读报告”证书

临近毕业季,南京理工大学的毕业生们收到了一张特殊的证书。“阅读报告”上有着历年在图书馆借阅书籍的册数以及入馆总次数。这位孙同学的阅读报告就显示,在他读博期间共借阅图书676册,进馆629次,是学霸本人了 !

孙玉佳表示:这份读书报告,不管对本科生还是研究生都非常有意义,是对我们学习过程的一个认定。网友纷纷表示,真是很有意义的证书,很贴心的证书了!
用心:辅导员手绘94幅画

在漫长的大学生活中,除了舍友,陪伴学生最长时间的莫过于辅导员了。前段时间,河南机电职业学院一女辅导员因手绘了94幅画赠毕业生,走红网络。
辅导员吴老师在接受采访时表示“全部是手绘,94幅画每一幅都不一样,明信片后抄的是论语,起警醒督促的作用。”赠给学生就是希望“他们在回想起来的时候,觉得有人在惦记着他们”。

除了手绘画,辅导员还制作了火车票,书签、折纸玫瑰等礼物。明信片和书签都是定制的,折纸玫瑰代表热爱,车票代表祝愿,信笺上写的是自己的感受和想对学生说的话。收到礼物的学生还专门发动态感慨:“老师很暖心!回想,三年了,时间如梭,回想过往,那些熟悉的面孔,熟悉的场景,一幕幕在脑海浮现。”
感人:父亲写给女儿的书

重庆工商大学的教授徐世伟历时一年,给女儿写了一本名叫《不要假装读大学》的书。问其写书的初心,徐教授谈了两点:一是作为毕业礼物赠给女儿。二是凭借自己的高校经验积累,结合对高中学生学习状况的了解,对这个阶段的学生提出建议, 希望他们能把握好四年的大学时光。书里的内容很丰富,涉及做人的修养、论文的指导、职业的选择等,可以为学生提供多方面的参考。

徐教授作为一名老师、一名父亲,和众多父辈人一样,也遇到了“代沟”。他说:“两代人之间沟通是比较困难的”。他希望以自己的前车之鉴,告诉孩子“这是弯路”。后来发现,“孩子不一定听你的,你还是不得不让她走”。他希望能以理解、引导的方式教育孩子,“路还是让他们自己走”。
又到了毕业季!
学子们,即将重新起航。
带着老师与亲友的期望,
沐浴着微风与阳光,
坚定地前行。
◆ 稿件转载:微言教育 ◆
贵阳市教育局官方微信
分享贵阳市中小学教育资讯
微信公众号ID : gysjyw
2026-04-06 04:26:10
2026-04-06 04:23:56
2026-04-06 04:21:42
2026-04-06 04:19:28
2026-04-06 04:17:13
2026-04-06 04:14:59
2026-04-06 04:12:45
2026-04-06 04:10:30
2026-04-06 04:08:16
2026-04-06 04:06:01
2026-04-06 04:03:47
2026-04-06 04:01:33
2026-04-06 03:57:04
2026-04-04 18:27:02
2026-04-04 18:24:47